[IB Biology: Chemistry Review #3]


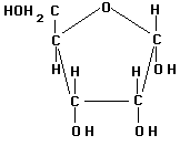
10. Identify the following molecule.

----- [Answer] -----


Slichter