[Organic Molecule Review Home]


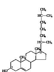
16. What type of lipid is shown below?

 

[Answer]

 


Slichter